química

Metionina

Modelo e fórmula de estrutura


A Metionina

Modelo molecular da Metionina
Fig. 1 - Modelo molecular da Metionina

A metionina é um dos aminoácidos codificados pelo código genético, sendo portanto um dos componentes das proteínas dos seres vivos.

É um codão de iniciação na síntese protéica. Para se formar uma proteína, este codão do DNA é lido em primeiro lugar pela célula, marcando o ponto de início da síntese. A metionina é assim um aminoácido importante que auxilia o início da tradução do RNA mensageiro (O RN completamente processado constitui o RNA mensageiro. A tradução do RNA mensageiro ocorre no ribossoma, dentro do citoplasma para produzir a proteína, que é codificada na sequência de nucleotídeos), sendo o primeiro aminoácido incorporado na posição terminal-N de todas as proteínas.

Este aminoácido que contém enxofre também serve de fonte de enxofre para a cisteína em animais e seres humanos. Neste aspeto, a metionina é considerada um aminoácido essencial, ao contrário da cisteína, ou seja, a cisteína é não-essencial desde que a dieta contenha quantidades suficientes de metionina.

O grupo metil terminal de cadeia lateral da metionina geralmente participa em reações bioquímicas de transferência de metil, tornando a metionina uma "doadora de metil".

A metionina representa cerca de 2% dos aminoácidos das proteínas do nosso organismo.

Os ovos são ricos em metionina, assim como o leite, as sardinhas e o queijo.

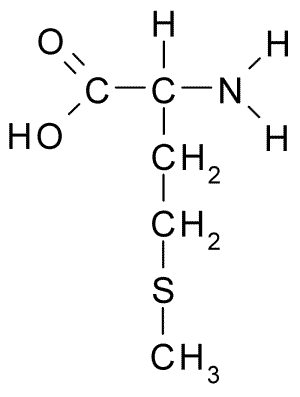
Fórmula de estrutura da Metionina
Fig. 2 - Fórmula de estrutura da Metionina

Algumas propriedades da Metionina

Nome sistemático (IUPAC): Ácido (S)-2-amino-4-metiltiobutanóico

Abreviatura/Símbolo: M / Met

Fórmula química: C5H11NO2S

Massa Molecular: 149.20

Ponto de fusão: 280 - 285 °C

Valor de pH: 5,0 a 7,0

Referências:

Wikipédia - Metionina

Imagem "Metionina 3d". Licenciado sob CC BY-SA 3.0, via Wikimedia Commons