química

Glutamato

Modelo e fórmula de estrutura


O glutamato

Modelo molecular do Glutamato
Fig. 1 - Modelo molecular do Glutamato

O ácido glutâmico ou glutamato é um dos aminoácidos codificados pelo código genético, sendo portanto um dos componentes das proteínas dos seres vivos. É um aminoácido não essencial. apresentando carácter químico ácido.

É o mais frequente dos 20 aminoácidos na sequência primária das nossas proteínas. É biossintetizado a partir de outros aminoácidos, incluindo a ornitina e a arginina. Quando aminado, o ácido glutâmico forma o importante aminoácido glutamina. É uma molécula bastante polar e encontra-se presente no exterior de proteínas e enzimas. O glutamato representa cerca de 9% dos aminoácidos das proteínas do organismo humano.

O glutamato é um aminoácido importante no metabolismo humano. É o produto da transaminação do α-cetoglutarato, participando então na produção de metabolitos como o piruvato ou o oxaloacetato, que participam em vias metabólicas como a gluconeogénese, a glicólise ou o ciclo dos ácidos tricarboxílicos:

alanina + α-cetoglutarato ⇔ piruvato + glutamato

aspartato + α-cetoglutarato ⇔ oxaloacetato + glutamato

O glutamato sofre desaminação a α-cetoglutarato e amoníaco através da seguinte reação, catalisada pela glutamato desidrogenase:

glutamato + água + NAD+ ---> α-cetoglutarato + NADH + amoníaco + H+

O amoníaco é excretado sob a forma de ureia (em humanos), que é sintetizada no fígado. O excesso de azoto no organismo pode ser então excretado através da ligação entre reações de transaminação e desaminação: aminoácidos são transformados em α-cetoácidos enquanto o grupo amina é transferido para o α-cetoglutarato, formando glutamato; este sofre então a desaminação que origina amoníaco e depois a ureia.

O glutamato é um neurotransmissor excitatório do sistema nervoso, o mais comum em mamíferos. É armazenado em vesículas nas sinapses. O impulso nervoso causa a libertação de glutamato no neurónio pré-sináptico; na célula pós-sináptica, existem receptores (como os receptores NMDA) que ligam o glutamato e se ativam. Pensa-se que o glutamato esteja envolvido em funções cognitivas no cérebro, como a aprendizagem e a memória.

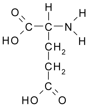
Fórmula de estrutura do Glutamato
Fig. 2 - Fórmula de estrutura do Glutamato

As membranas de neurónios e neuróglia possuem transportadores de glutamato que retiram rapidamente este aminoácido do espaço extracelular. Em situações de patologia cerebral (danos ou doenças), os transportadores podem funcionar de forma reversa e causar a acumulação de glutamato no espaço extracelular. Esta reversão provoca a entrada de iões cálcio (Ca2+) nas células, através de receptores NMDA, levando a danos neuronais e eventualmente morte celular (apoptose). Este processo é conhecido como excitotoxicidade. A apoptose é causada por fatores como danos em mitocôndrias devido ao excesso de iões cálcio e promoção de fatores de transcrição de genes pró-apoptóticos (ou repressão de fatores de transcrição de genes antiapoptóticos) mediada pelo glutamato e pelo ião cálcio.


Algumas propriedades do Glutamato

Nome sistemático (IUPAC): Ácido (S)-2-amino-pentanóico

Abreviatura/Símbolo: E / Glu

Fórmula química: C5H9NO4

Massa Molecular: 147.11

Ponto de fusão: 97.5 - 98 °C

Referências:

Wikipédia - Glutamato

Imagem "Glutamato 3d". Licenciado sob CC BY-SA 3.0, via Wikimedia Commons