física

Constante gravitacional

Constante da Lei de Newton


A constante de gravitação universal

Isaac Newton
Fig. 1 - Isaac Newton (1642 - 1727)
Físico e matemático inglês

A constante de gravitação universal, também chamada por constante newtoniana de gravitação, constante gravitacional universal, constante de Newton, grande G ou simplesmente constante gravitacional (símbolo: G), é uma constante física universal da lei de Newton.

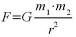
Segundo a Lei da atração universal, a força de atração entre dois corpos é proporcional ao produto de suas massas e inversamente proporcional ao quadrado da distância que as separa:

Lei da atração universal

Trata-se de uma das constantes físicas cujo valor é menos preciso. A massa do Sol, como é calculada a partir desta constante é, portanto, também calculada com alguma incerteza. A primeira medição do seu valor foi efetuada por Henry Cavendish, na sua obra Philosophical Translations, de 1798.

Atualmente o CODATA (comité interdisciplinar do Conselho Internacional de Ciência,2008) recomenda para a constante de gravitação universal o valor de:

G = 6,67428(67) x 10-11 m3 kg-1 s-2

A constante de gravitação universal G não deve ser confundida com g (em minúscula), que é o símbolo normalmente associado à variável que representa a intensidade da aceleração da gravidade terrestre junto à superfície do planeta, ou outro astro, quando explicitamente especificado. Em termos de G, g expressa-se como:

aceleração da gravidade

onde M e r representam nesse caso a massa e o raio do astro esférico. Para a Terra tem-se que a aceleração da gravidade vale por volta de g = 9,81 m/s2.

Referências:

Wikipédia - Constante gravitação universal