cfq 9º ano

Aceleração média

Classificação de movimentos


O que é a aceleração?

velocidade
Fig. 1 - No dia-a-dia, aceleração significa
usualmente um aumento de velocidade

No nosso dia a dia, usualmente o termo aceleração utiliza-se quando nos queremos referir a um aumento da velocidade de um determinado objeto. No entanto, o termo aceleração tem um significado mais vasto. Sempre que há uma variação de velocidade (em valor, direção ou sentido) é porque ocorreu uma aceleração.

Isto quer dizer que o corpo pode aumentar ou diminuir de velocidade. Se a sua velocidade aumentar a sua aceleração vai ser positiva. Se por outro lado diminuir teremos uma aceleração negativa. Sempre que a velocidade é constante, o valor da aceleração é nulo.

saber mais

A aceleração é uma grandeza vetorial que descreve a variação da velocidade ao longo do tempo.


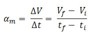
Mas, tal como a velocidade, a aceleração pode também mudar de instante para instante. Deve então definir-se aceleração média, como a razão entre a variação de velocidade e o intervalo de tempo durante o qual ocorreu essa mesma variação:

aceleração média

Para movimentos retilíneos, a direção já se encontra definida, pois é a mesma do movimento, pelo que se pode simplificar a expressão, omitindo o sinal de vetor e escrever apenas:

Aceleração média

Em que as variáveis significam:
am - aceleração média;
vf - velocidade final;
vi - velocidade inicial;
tf - tempo final
ti - tempo inicial

A unidade do sistema internacional, utilizada para exprimir a aceleração é o m/s2, pois estamos a dividir uma diferença de velocidades (que se mede em m/s - metro por segundo), por um intervalo de tempo, expresso em s (segundos).


Apresentação - aceleração média

universo

A aceleração média

Uma explicação e alguns exemplos para melhor compreender este conceito. Clica na imagem para ver a apresentação. Apresentação adaptada para Explicatorium

Aceleração
Referências:

Manual Texto Editores - "Viver melhor na Terra".

Imagem original em: obviousmag